정의
트리 중에서 가장 많이 쓰이는 트리로, 모든 노드가 2개의 서브 트리를 가진다.
서브트리는 공집합 일 수 있다. (공집합 또한 이진트리이다.)
이진트리의 노드에는 최대 2개까지의 자식노드가 존재할 수 있고, 모든 노드의 차수가 2 이하이다.
이진트리에는 서브트리간의 순서가 존재한다. (즉 왼쪽과, 오른쪽이 구별된다)
1. 공집합이거나
2. 루트와 왼쪽 서브트리, 오른쪽 서브 트리로 구성된 노드들의 유한 집합.
성질
n개의 노드를 가진 이진트리는 정확히 n-1 개의 간선(edge) 를 가진다. 왜냐하면 이진트리에서 노드는 루트를 제외하면 정확히 하나의 부모노드를 가지기 때문이다. (부모와 자식간에는 1개의 edge 만이 존재한다)
높이가 h 인 이진트리의 경우, 최소 h 개의 노드를 가지며 최대 2^h -1 개의 노드를 가진다.
즉 n 개의 노드를 가지는 이진트리의 높이는 최대 n 이거나 log_2(n+1) 이 된다.
분류
- full binary tree (포화 이진 트리)
- complete binary tree (완전 이진 트리)
- 기타 이진 트리
full binary tree

각 레벨에 노드가 꽉 차있는 이진트리이다. 위 와 같이 노드에 번호를 붙일 수 있다. (왼쪽 부터 오른쪽) 이 번호는 항상 일정하다. 즉, 루트의 오른쪽 자식 노드는 항상 3번이다.
Complete binary tree

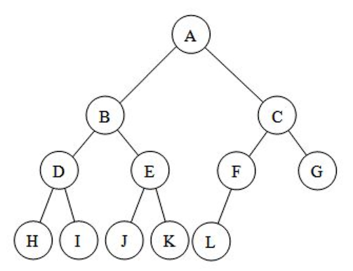
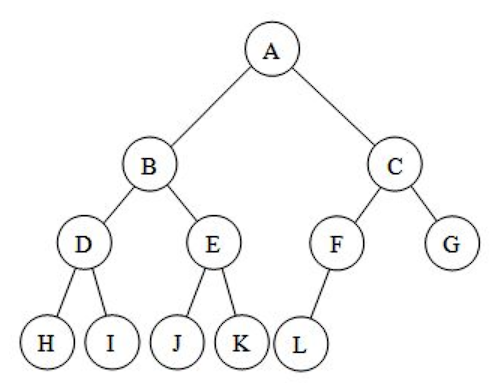
완전 이진트리는 높이가 k일 때 레벨벨 k-1 까지는 포화이진트리이고, 레벨 k에서는 왼쪽부터 오른쪽으로 노드가 순서대로 채워져 있는 이진트리이다.
즉 위 그림에서 L 노드가 F 의 오른쪽 자식 노드에 위치한다면, 완전 이진트리가 아니다.
이진트리의 표현
배열을 이용

노드 i 의 부모 노드 인덱스 = i/2
노드 i의 왼쪽 자식 노드 인덱스 = 2i
노드 i의 오른쪽 자식 노드 인덱스 = 2i+1
링크를 이용

typedef struct TreeNode {
int data;
struct TreeNode *left, *right;
} TreeNode;
int main(){
TreeNode *n1, *n2, *n3;
n1 = (TreeNode*)malloc(sizeof(TreeNode));
n2 = (TreeNode*)malloc(sizeof(TreeNode));
n3 = (TreeNode*)malloc(sizeof(TreeNode));
n1->data = 10;
n1->left = n2;
n1->right = n3;
n2->data = 20;
n2->left = NULL;
n2->right = NULL;
...
이진트리의 순회(traversal)
스택이나 큐등은 데이터를 선형으로 가지고 있기 때문에 자료를 순차적으로 순회하는 방법은 하나뿐이었지만, 트리느 ㄴ그렇지 않다.
전위순회(preorder traversal) : VLR
VLR 은 순회환경을 나타내는 용어로, V는 루트노드 L은 왼쪽 서브트리, R은 오른쪽 서브트리를 의미한다.
즉 전위 순회는 루트 부터 시작해서 왼쪽 서브트리를 다 탐색한 다음 오른쪽 서브트리로 넘어간다는 뜻이다.
preorder(x):
if x != NULL then
print DATA(x);
preorder(LEFT(x));
preorder(RIGHT(x));

중위순회 (inorder traversal) : LVR
inorder(x):
if x != NULL then
inorder(LEFT(x));
printf(DATA(x));
inorder(RIGHT(x));

후위순회 (postorder traversal) : LRV
postorder(x):
if x != NULL then
postorder(LEFT(x));
postorder(RIGHT(x));
print(DATA(x));

반복적 순회
위 방식들은 시스템 스택을 사용하지만, 별도의 스택을 구현해서 순환호출을 흉내낼 수도 있다.
아래 코드는 중위순회 (LVR) 을 흉내내는 예시이다.
void inorder_iter(TreeNode *root){
while(1) {
for (; root; root=root->left)
push(root)
root = pop();
if (!root) break;
printf("[%d] ", root->data);
root = root->right;
}
}
레벨순회 (level order traversal)
표준적인 순회방법은 아니지만, 각 노드를 레벨 순으로 검사하는 순회 방법이다.'
지금까지의 순회방식이 스택을 사용함에 반해, 레벨 순회는 큐를 사용한다.


순회 방법 선택
순서는 중요치 않고 노드를 전부 방문하기만 하면 된다면, 전위 중우 후위 중 아무것이나 택해도 된다.
자식노드를 처리한 다음에 부모 노드를 처리해야한다면 후위순위를 사용해야 한다.
부모노드를 처리한 다음에 자식 노드를 처리해야 한다면 전위순회를 사용해야 한다.
'SW > C,C++' 카테고리의 다른 글
| [자료구조] 연결리스트 - List (2) | 2024.09.24 |
|---|---|
| [자료구조] 선형 자료구조와 비선형 자료구조 (0) | 2024.09.22 |
| [C/C++] 함수인자로써 이중포인터와 가변길이배열 (0) | 2024.05.13 |
| [C++] 배열 index 관련 예외처리 (0) | 2024.05.03 |
| [C++] std::cin 타입 불일치 (0) | 2024.05.02 |
댓글